Abstract
A field experiment was conducted with irrigation in 2018 and 2019 at three locations to identify the optimum plant density and adaptive variety for better watermelon yield and quality. It consisted of five densities (24,690, 13,888, 8,888, 6,172, and 4,535 plant ha−1) and two varieties (Crimson Sweet and Sugar Baby) with factorial combination in randomized complete block design with three replications. Plant density and variety were not affected by location and season. The response of watermelon in yield, quality, and growth was influenced by plant density and variety. The highest fruit yield of 32.1 t ha−1 was obtained from the highest plant density, which was statistically similar with the yield of 31.9 t ha−1 obtained with the second highest plant density. However, about 71% of the fruits produced with the highest plant density were mini-sized in the fruit size category, whereas only about 59% were mini-sized with the second highest plant density. Any addition of plant density beyond 13,888 ha−1 did not gain additional yield but reduced in quality attributes. Better fruit physical attributes and total soluble solid were recorded from the lowest plant density. Therefore, Crimson Sweet variety with 120 and 60 cm inter- and intra-row spacing, respectively, which accommodates the plant density of 13,888 ha−1, is optimum for watermelon production.
1 Introduction
Watermelon, Citrullus lanatus (Thunb.) Matsum. and Nakai, belongs to cucurbits family with 22 chromosomes [1]. It is one of the most widely grown vegetable crops in the warmer parts of the world [1,2,3]. About 500 g of fruit flesh provides 2,950 IU of vitamin A, which is about 60% of the daily recommended dietary allowance (RDA), 35 mg of vitamin C (78% of the RDA), 2.5 mg of iron (25% of the RDA), 130 calories, and very little sodium [1,4]. Moreover, it has a high content of lycopene [1,5]. According to Holden et al. [6], red-fleshed fruits of watermelon account for 48.7 µg g−1 lycopene by weight, which is 60% higher than tomatoes. The preference for vegetables including watermelon has therefore increased their consumption by consumers. In this regard, USAID [7] reported that the consumption of watermelon reached 146.93 kg per capita. However, the lycopene content of watermelon is variable across the environment, genotype, ploidy level, and maturity of the fruits [8,9].
Three-fourth of the world’s watermelon yield is produced in Asia, with China being the leading producer [10]. According to FAO [10], the top five watermelon-producing countries in the world are China, Iran, Turkey, Brazil, and Uzbekistan with the production estimate of 79,276,300 tons (42.88 t ha−1), 4,059,786 tons (29.81 t ha−1), 4,011,313 tons (41.99 t ha−1), 2,314,700 tons (22.00 t ha−1), and 2,030,992 tons (39.81 t ha−1), respectively. The total world production in the same year was 118,413,465 tons, which was produced on 3,477,285 ha of land with an average productivity of 34 t ha−1. Algeria is the leading watermelon-producing country in Africa followed by Egypt and Morocco [10].
According to Gusmini and Wehner [11], the global increase in the productivity of cucurbit species including watermelon over the past decades is primarily through improved agronomic practices including plant density and the development of disease-resistant cultivars. In watermelon, plant density influences the performance of plants in a given environment and genotype [12]. Its production, therefore, necessitates appropriate plant density to enhance its productivity [13]. Increasing plant density beyond the threshold level, therefore, may not increase the yield of watermelon [14].
The choice of spacing between rows and plants depends on the intensity of management, soil fertility, the environmental conditions, the growth habit of the variety, and the fruit-size preference of the consumers [15]. According to Boyhan et al. [16], watermelon is traditionally planted with a spacing of 1.52 and 0.91 m inter- and intra-row spacing (7,246 plant ha−1), respectively. Reduced spacing of 1.52 and 0.70 m inter- and intra-row spacing (9,434 plant ha−1), respectively, is also used to produce icebox watermelon type.
Higher yield and number of fruits were attained through intensive management of watermelon plants including proper spacing [13]. Spacing of 2.0 and 1 m inter- and intra-row spacing (5,000 ha−1), respectively, provided the best early and total yield [17]. Spacing of 1.5 and 1 m inter- and intra-row spacing (6,666 ha−1), respectively, gave the highest number and yield [18]. Higher yields of marketable fruits (>4.4 kg) were obtained using 1.5 inter- and 0.45 and 0.60 m intra-row spacing (14,705 and 11,111 plant ha−1) [15]. According to Dantata [19], higher yields were recorded when plants were planted at 1.0 and 0.75 m (13,333 plant ha−1) inter- and intra-row spacing, respectively, compared with 0.50 and 0.25 m (80,000 plants ha−1) inter- and intra-row spacing, respectively. However, too wider inter-row spacing of 3.0 and intra-row spacing of 0.7 m (2,325 plant ha−1) were recommended as the optimum plant density by Adlan and Abu-Sarra [20]. The level of management practices including optimum plant density generally affects the quality attributes such as sugar content, deep red-colored flesh, and crisp texture of the edible fruit part [21].
Plant density also influences the fruit weight. According to Akintoye et al. [14], the optimum plant density is location specific where the highest fruit yield was obtained at the density of 14,815 ha−1 (0.68 m2 plant−1). The authors also reported that the fruit weights of watermelon decreased with increased plant density. Similarly, Goreta et al. [22] reported that as plant density decreased, the average fruit weights increased, and at the same time, the fruit size distribution shifted to large fruit categories. Motsenbocker and Arancibia [23] suggested that watermelon yield, fruit weight, and number can be adjusted by in-row spacing. Akintoye et al. [14] indicated the necessity of site-specific evaluation to determine maximum yield responses of watermelon cultivars toward the increased plant density.
Watermelon preferences of farmers and consumers encompass a wide range of fruit sizes and flesh color [24]. As a result of the inconvenience in handling big fruits, fruits in the range of 4.5–5.5 kg are highly preferred by consumers having small family size. Similarly, consumers having low incomes prefer small-to-medium-sized fruits rather than large fruits because of their high prices [4]. Watermelon production is, therefore, ultimately shifted from the production of big fruits to small-sized fruits having desirable quality attributes [7,25]. Optimization of plant density per unit area is, therefore, very important to satisfy fruit size preferences of consumers.
Watermelon has been dominantly produced by smallholder farmers around Rift Valley areas of Ethiopia. Watermelon produced in the country is inferior both in terms of quantity and quality [26,27]. According to the authors, the agronomic practices implemented by watermelon-producing farmers are mostly not appropriate, which is probably associated with less knowledge and skills of the farmers due to new introduction of the crop. In Amhara Region, watermelon has been introduced by Amhara Agricultural Research Institute where suitable areas, adaptive varieties, and agronomic practices of the crops are not well known. For proper watermelon production with high productivity and acceptable quality attributes, optimization of its main production factors including plant density, varieties, and growing environment is vital as indicated by Hochmuth and Bennett [28]. This research was, therefore, conducted to study the effects of planting density, variety, and growing environment on fruit yield and quality attributes of watermelon in Northwest Ethiopia.
2 Materials and methods
2.1 Description of study areas
The experiment was conducted in 2018 and 2019 under irrigation conditions at Ribb, Woramit, and Koga irrigation schemes of Amhara Region in Northwest Ethiopia. These locations represent the three different types of vegetable-producing areas in the northwest part of Amhara Regional State, Ethiopia. Experimental site in Ribb irrigation scheme is geographically located at 11°44′ N latitude and 37°25′ E longitude, while experimental sites in Woramit and Koga irrigation schemes are located at 11°38′ and 11°10′ N latitude and 37°10′ and 37°2′ E longitude, respectively. The altitudes of Ribb, Woramit, and Koga irrigation schemes are 1,774, 1,800, and 1,960 m above sea level, respectively.
Temperature conditions specifically mean maximum and minimum of the experimental sites during the experimental period are presented in Figure 1. To characterize the soils of experimental sites, composite soil samples were collected before planting, and the physical and chemical properties were analyzed in the soil laboratory of Adet Agricultural Research Center following standard methods and procedures, and the results are presented in Table 1.

Temperatures of the experimental sites during the experimental period.
Soil physical and chemical properties of the experimental sites
Soil characteristics | Location | |||||
---|---|---|---|---|---|---|
Ribb | Woramit | Koga | ||||
2018 | 2019 | 2018 | 2019 | 2018 | 2019 | |
pH | 6.95 | 7.01 | 5.57 | 6.08 | 5.90 | 5.99 |
EC (mS cm−1) | 40.67 | 35.4 | 34.6 | 32.9 | 37.30 | 31.70 |
OM (%) | 2.127 | 2.51 | 2.491 | 3.116 | 2.337 | 3.121 |
N (%) | 0.197 | 0.203 | 0.181 | 0.214 | 0.236 | 0.228 |
CEC (Cmol+ kg−1) | 31.72 | 46.72 | 30.87 | 33.90 | 33.26 | 50.58 |
Available P (meq/100 g soil) | 27.794 | 29.81 | 20.423 | 24.011 | 2.35 | 2.98 |
Clay (%) | 31 | 32 | 25 | 29 | 35 | 33 |
Silt (%) | 61 | 59 | 55 | 53 | 55 | 55 |
Sand (%) | 8 | 9 | 12 | 18 | 10 | 12 |
Soil textural class | Silt–clay–loam | Silt–clay–loam | Silt–clay–loam | Silt–loam | Silt–clay–loam | Silt–clay–loam |
EC, electrical conductivity; OM, organic matter; N, nitrogen; CEC, cation exchange capacity; P, phosphorus.
2.2 Description of watermelon varieties
Two commercial watermelon varieties, namely “Crimson Sweet” and “Sugar Baby,” were used as test crops. Crimson Sweet is an open-pollinated variety that represents long-veining type. The variety can develop big fruits (6.8–11.3 kg) within 80 days of planting. It has light green fruit with dark stripes, high sugar content, and excellent shipping quality. The vines are resistant to anthracnose (Colletotrichum orbiculare) and fusarium wilt (Fusarium oxysporum Schlechtend). Crimson Sweet was released for cultivation by Kansas State University, United States, in 1963 [29].
Sugar Baby is an open-pollinated variety that represents the icebox type with round and dark fruit. Its fruit flesh is bright red and firm with a super sweet taste. Vines are compact. Like many icebox types, it has an average fruit weight ranging from 3.5 to 5.5 kg that matured within 75 days of planting. Vines of the variety spread to 1.8–2.4 m long. It has a wide climatic adaptation character [29].
2.3 Experimental treatments, design
Factorial combinations of five plant density entries 4,535, 6,172, 8,888, 13,888, and 24,691 plants ha−1 and two varieties (Crimson Sweet and Sugar Baby) were laid out in randomized complete block design with three replications. The experiment was conducted under irrigation and repeated at three different locations (Koga, Ribb, and Woramit) for two years in 2018 and 2019.
2.4 Experimental procedures
To study the effect of the plant density, variety, locations, and growing season, the experiment at all locations and seasons received uniform management including weeding, watering, and fertilization. The gross plot size of each experimental treatment was 35.28 m2 (8.4 m × 4.2 m), which accommodated 4, 5, 6, 7, and 9 rows and 16, 25, 36, 49, and 81 plants at inter- and intra-row spacing of 2.1 m × 1.05 m, 1.80 m × 0.90 m, 1.5 m × 0.75 m, 1.5 m, 1.2 m × 0.60 m, and 0.90 m × 0.45 m with theoretical density series of 4,535, 6,172, 8,888, 13,888, and 24,691 ha−1, respectively.
Two seeds per hole were sown on January 01, 2018 and 2019 according to specified spacing treatments and later thinned to keep one plant per hole after 2 weeks of planting. Fertilizer was applied at the rate of 46 and 46 kg ha−1 of P2O5 and N in the form of di-ammonium phosphate (DAP; 18% N, 46% P2O5), and urea (46% N). The full rate of DAP and the half rate of urea were applied at planting, and the rest 50% of urea was applied 1 month after planting with basal application method [16]. Furrow irrigation was used at 7-day interval for the first 4 weeks and then after every 14 days until maturity. Moreover, Selecron® 720 EC and Ridomil® MZ, the products of Syngenta at a rate of 0.75–2.5 kg ha−1, were sprayed uniformly with 15-day interval to control insect pests and fungal diseases, respectively.
2.5 Data collection method
Harvesting was done at a net plot size of 27.72 m2 at physiological maturity stage. Before harvesting, all phenological data including days to 50% flowering, 50% fruit setting and maturity were recorded. Similarly, ground cover estimation was recorded after 30th, 60th, and 90th days of planting on plot basis, whereas other growth parameters including number of vain and fruits per vain were collected from five randomly selected plants in the middle rows. Five healthy and nonphysiologically defected fruits were randomly selected from the net plot area to determine both fruit physical and chemical quality attributes [30]. The fruit length was recorded by measuring the fruit from the point where tendril attached to the blossom end in centimeters, whereas the fruit width was recorded by measuring the largest diameter of the cross-sectioned of sampled fruits. Fruit rind thickness was recorded by cutting the cross-section of the fruit and measured the thickness in centimeter using caliper meter.
Fruit juice was extracted from 1 kg of sliced flesh using a high-performance commercial blender, the product of M-indiamart®, and the juice volume was measured using a graduated cylinder and expressed in milliliter per kilogram of fruit. Palette digital refractometer PR-32α, the product of ATAGO®, with a range of Brix 0–32% was used to determine the total soluble solid (TSS) placing two drops of clear juice on the prism. Clear juice was measured by a pH meter AD1020 pH/mv/ISE, the product of Adwa Instruments, with T meter electrode calibrated with standard pH 4 and pH 7 buffers.
Harvested fruits were weighed individually, and the fruit yield was expressed as marketable and unmarketable fruit weight (t ha–1) and number (ha–1), respectively. Abnormal fruits including rotten due to disease, insect damaged rotten at blossom-end, cracked, bottlenecked, and misshaped due to physiology were screened from the normal fruits and then counted, weighed, and expressed in hectare basis. According to Wehner [1], the fruit-size distributions are mini <4, icebox 4.5–5, small 5.5–8, medium 8–10, large 11–14.5, and giant >14.5 kg based on weight. Therefore, normal fruits were categorized into three groups in such a way that <4, 4.5–5, and 5.5–8 kg as mini, icebox, and medium fruits, respectively, and their percentile distribution was recorded eventually.
2.6 Data analysis
The analysis of variance (ANOVA) was conducted for each location and season using PROC GLM procedure (SAS Institute, 2002 version 9.0) to see the effect of plant density and variety. After Bartlett’s and Levent’s homogeneity test, combined ANOVA over location and season was conducted using PROC MIXED procedure of SAS. Density and variety were considered as fixed effect, whereas location and season were considered as random effect. Whenever the ANOVA result of the variables showed significance (P ≤ 0.05), mean separation between the treatments was performed using Fisher’s least significant difference (LSD).
3 Results and discussion
3.1 Phenological traits
The combined ANOVA revealed that plant density, variety, location, and season significantly (P ≤ 0.05) influenced the phenological traits, including days to flowering, fruit setting, and maturity. The interaction of locations–seasons significantly (P ≤ 0.05) influenced the phenological traits, whereas the interactions of density–variety, density–location, density–season, variety–location, and variety–season did not significantly (P > 0.05) influence the phenological traits. Phenological traits were not significantly (P > 0.05) influenced by the interaction of density–variety–location, density–variety–season, density–location–season, and variety–locations–seasons (Table 2). No significant interactions of density–location, density–season, variety–location, and variety–season indicated that the performance of each density and variety was similar at all locations and seasons. According to Gusmini and Wehner [31], such phenomenon permits to discuss and conclude with combined mean values of each treatment across locations and seasons.
Significance level and variance (mean squares) for the tested traits of watermelon
Sources of variation | |||||||||||||||||||
---|---|---|---|---|---|---|---|---|---|---|---|---|---|---|---|---|---|---|---|
Traits | Density (D) | Variety (V) | Rep (L*S) | Location (L) | Season (S) | D × V | D × L | D × S | V × L | V × S | L × S | D × V × L | D × V × S | D × L × S | V × L × S | D × V × L × S | Error | CV (%) | R 2 |
df | 4 | 1 | 12 | 2 | 1 | 4 | 8 | 4 | 2 | 1 | 2 | 8 | 4 | 8 | 2 | 8 | 108 | ||
Flower (days) | 377* | 970** | 4ns | 1,210** | 16ns | 0.9ns | 65ns | 70ns | 3ns | 22ns | 3,023** | 6ns | 2ns | 128ns | 39ns | 14.13ns | 3.82 | 3.4 | 0.97 |
Fruit set (days) | 868* | 1,070* | 10ns | 2,256** | 3,618** | 1ns | 38ns | 48ns | 41ns | 18ns | 2,764** | 4ns | 4ns | 52ns | 58ns | 4ns | 3.92 | 2.7 | 0.98 |
Maturity (days) | 509* | 1,135** | 5ns | 644** | 5,445** | 5ns | 40ns | 23ns | 55ns | 6ns | 446* | 4ns | 2ns | 75 | 13ns | 4ns | 4.14 | 1.7 | 0.96 |
NVPP | 4.52** | 1.38ns | 0.27ns | 2.40ns | 30.42** | 0.05ns | 0.32ns | 0.31ns | 1.41ns | 0.53ns | 14.35ns | 0.07ns | 0.09ns | 0.14ns | 2.14ns | 0.07ns | 0.12 | 11.2 | 0.89 |
GC1 (%) | 1,322** | 276ns | 5ns | 958* | 29ns | 10ns | 63ns | 45ns | 19ns | 1ns | 713ns | 8ns | 16ns | 115ns | 7ns | 10ns | 6.02 | 9.2 | 0.94 |
GC2 (%) | 6,748** | 658ns | 9ns | 495ns | 4ns | 13ns | 272ns | 78ns | 13ns | 7ns | 709ns | 3ns | 16ns | 81ns | 1ns | 6ns | 11.9 | 5.3 | 0.96 |
GC3 (%) | 7,012* | 707ns | 5ns | 57ns | 84ns | 89ns | 173ns | 74ns | 4ns | 24ns | 734ns | 9ns | 5ns | 144ns | 2ns | 7ns | 11.1 | 3.7 | 0.97 |
NF (plant−1) | 10.23* | 13.01** | 0.01ns | 0.25ns | 0.39ns | 0.64ns | 0.37ns | 0.18ns | 0.03ns | 0.71ns | 0.26ns | 0.18ns | 0.11ns | 1.30ns | 0.91ns | 0.19ns | 0.06 | 23.3 | 0.92 |
NMF (ha−1) | 548,995,920** | 211,762,461* | 707,592ns | 53,995,859ns | 21,723,464ns | 14,152,324ns | 7,958,367ns | 7,938,759ns | 34,665,379ns | 32,918,943ns | 18,578,724ns | 4,287,078ns | 4,358,073ns | 10,857,530ns | 1,424,505ns | 4,821,208ns | 1,559,723 | 15.1 | 0.95 |
NUMF (ha−1) | 41,479,045** | 11,580,154* | 721,706ns | 470,079ns | 97,823,502** | 1,680,804ns | 1,465,386ns | 9,268,348ns | 8,047,135ns | 1,051,095ns | 3,963,925ns | 1,532,363ns | 754,079ns | 355,504ns | 14,452,964ns | 2,486,691ns | 204,985 | 26.8 | 0.95 |
MFY (t ha−1) | 2,710,731,486** | 1,844,652,046* | 9,505,851ns | 1,544,624,069ns | 510,168,413ns | 35,917,335ns | 115,922,659ns | 232,776,121** | 453,923,254ns | 203,439,926ns | 19,689,882ns | 60,794,238ns | 26,241,411ns | 35,258,951ns | 55,491,835ns | 67,361,958ns | 10,250,596 | 13.6 | 0.95 |
UMFY (t ha−1) | 59,557,941* | 60,069,485** | 1,247,368ns | 18,628,302ns | 19,633,137ns | 3,782,102ns | 2,439,186ns | 1,213,880ns | 12,588,633ns | 19,744,787ns | 31,428,742ns | 2,871,868ns | 1,561,446ns | 1,124,668ns | 40,814,049ns1 | 4,261,632ns | 455,485 | 29.5 | 0.93 |
Mini (%) | 4,099* | 56,731** | 38ns | 3,527** | 64ns | 220ns | 129ns | 566ns | 47ns | 51ns | 783ns | 228ns | 85ns | 319ns | 1,008ns | 186ns | 43.76 | 12.0 | 0.95 |
Icebox (%) | 227* | 673* | 13ns | 106ns | 2,200** | 312ns | 232ns | 79ns | 315ns | 15ns | 191ns | 117ns | 97ns | 61ns | 82ns | 77ns | 15.8 | 20.7 | 0.87 |
Small (%) | 3,904* | 45,042** | 38ns | 3,777** | 1,511ns | 488ns | 189ns | 451ns | 601ns | 10ns | 606ns | 205ns | 164ns | 181ns | 713ns | 126ns | 35.6 | 23.3 | 0.96 |
FL (cm) | 14* | 172** | 1ns | 76* | 24* | 1ns | 2ns | 0.3ns | 12ns | 4ns | 80** | 2ns | 2ns | 2ns | 2ns | 1.6ns | 0.68 | 4.4 | 0.90 |
FW (cm) | 9* | 134* | 0.89ns | 47* | 27* | 1ns | 2ns | 1ns | 4ns | 4ns | 39* | 0.5ns | 0.2ns | 1.9ns | 2.4ns | 1.5ns | 0.70 | 4.5 | 0.86 |
FWt (cm) | 10* | 117** | 0.09ns | 8* | 0.1ns | 2ns | 0.5ns | 0.5ns | 1ns | 2ns | 5ns | 0.2ns | 0.2ns | 0.2ns | 1ns | 0.07ns | 0.13 | 10.8 | 0.94 |
RT (cm) | 0.8** | 1.5** | 0.02ns | 0.3ns | 0.00ns | 0.05ns | 0.04ns | 0.03ns | 0.38ns | 0.35ns | 0.3ns | 0.01ns | 0.02ns | 0.09ns | 0.2ns | 0.03ns | 0.01 | 8.9 | 0.88 |
JC (mL) | 441ns | 8,336** | 12ns | 1,838ns | 2,546ns | 76ns | 100ns | 371ns | 506ns | 23ns | 23ns | 347ns | 159ns | 137ns | 243ns | 176ns | 49.6 | 1.7 | 0.86 |
pH | 0.02ns | 2.86* | 0.01ns | 2.37ns | 1.62ns | 0.04ns | 0.09ns | 0.06ns | 0.24ns | 0.02ns | 0.8ns | 0.04ns | 0.03ns | 0.02ns | 0.06ns | 0.03ns | 0.01 | 2.0 | 0.90 |
TSS (%) | 2.98* | 0.02ns | 0.06ns | 1.38ns | 100** | 0.12ns | 0.44ns | 1.92ns | 6.07* | 3.75ns | 8.89* | 0.37ns | 0.23ns | 0.79ns | 0.60ns | 0.31ns | 0.10 | 3.4 | 0.94 |
*, Significant (P < 0.05); **, highly significant (P < 0.01); and ns, non-significant. GC1, Ground cover estimation taken at 30 days after sowing; GC2, ground cover estimation taken at 60 days after sowing; GC3, ground cover estimation taken at 90 days after sowing; NVPP, number of primary vine per plant; NF, number of fruits per plant; NMF, number of marketable fruits; NUMF, number of unmarketable fruits; MFY, marketable fruit yield; UMFY, unmarketable fruit yield; Mini, mini-sized fruit category; Icebox, icebox-sized fruit category; Small, small-sized fruit category; FL, fruit length; FW, fruit width; FWt, fruit weight; RT, rind thickness; JC, juice content; TSS, total soluble solids.
Early flowering (52 days), fruit setting (72 days), and fruit maturity (112 days) were observed at the density of 24,690 ha−1 followed by 13,888 ha−1. These two densities, which are highly populated, shortened the flowering by 9 and 8 days, fruit setting by 13 and 12 days, and maturity by 9 and 7 days, respectively, compared with the lowest plant density (Table 3). The difference in phenological processes of watermelon plants was generally delayed as plant density decreased while it was early as the plant density increased (Figure 2). The finding was in line with Ban et al. [17] who reported that prolonged maturity of watermelon was observed when within row spacing increased. According to Weiner and Freckleton [32], the rate of up taking of resources and their conversion into biomass is dependent on density, and competition can start as soon as plants are large enough, but the effect starts at early stage at a high plant density.
Main effect of density, location, and season on the growth yield component and yield of watermelon
Flower (days) | Fruit set (days) | Maturity (days) | NVPP | GC1 (%) | GC2 (%) | GC3 (%) | NF (plant−1) | NMF ha−1 (×1,000) | NUMF ha−1 (×1,000) | MFY (t ha−1) | UMFY (t ha−1) | |
---|---|---|---|---|---|---|---|---|---|---|---|---|
Density (ha−1) | ||||||||||||
24,690 | 52.3e | 72.1e | 112.0e | 2.7d | 34.1a | 82.2a | 99.6a | 0.7c | 12.7a | 3.2a | 32.1a | 4.2a |
13,888 | 55.0d | 74.8d | 114.4d | 3.0c | 29.2b | 73.0b | 95.9b | 1.0b | 11.2b | 2.3b | 31.9a | 2.9b |
8,888 | 57.1c | 77.0c | 117.3c | 3.2b | 26.4c | 65.8c | 90.8c | 1.0b | 7.6c | 1.5c | 23.3b | 2.1c |
6,172 | 58.7b | 81.2b | 119.5b | 3.3b | 23.2d | 55.5d | 78.8d | 1.2a | 5.2d | 1.0d | 17.8c | 1.6d |
4,535 | 60.6a | 84.4a | 121.3a | 3.7a | 18.1e | 47.8e | 65.5e | 0.9b | 3.5e | 0.5e | 12.3d | 0.9e |
SL | * | * | * | ** | ** | ** | * | * | ** | ** | ** | ** |
LSD (0.05) | 0.91 | 0.93 | 0.95 | 0.16 | 1.15 | 1.62 | 1.56 | 0.11 | 584 | 211 | 1.5 | 0.34 |
Variety | ||||||||||||
Crimson Sweet | 59.1a | 80.3a | 119.4a | 3.1 | 27.4 | 66.8 | 88.1 | 0.8b | 6.9b | 1.9a | 26.7a | 2.9a |
Sugar Baby | 54.4b | 75.5b | 114.4b | 3.3 | 25.0 | 62.9 | 84.2 | 1.3a | 9.1a | 1.4b | 20.3b | 1.8b |
SL | ** | ** | ** | ns | ns | ns | ns | ** | * | * | * | ** |
LSD (0.05) | 0.58 | 0.59 | 0.60 | 0.3 | 2.7 | 4.0 | 4.9 | 0.1 | 369 | 133 | 0.95 | 0.2 |
Location | ||||||||||||
Ribb | 52.2c | 74.2b | 114.6b | 3.2 | 43.1a | 61.9 | 87.1 | 1.0 | 8.5 | 1.6 | 29.1 | 2.3 |
Woramit | 56.8b | 74.5b | 115.5b | 3.4 | 26.4b | 65.0 | 86.1 | 0.8 | 6.9 | 1.8 | 19.3 | 2.9 |
Koga | 61.2a | 85.0a | 120.7a | 3.0 | 22.1bc | 67.7 | 85.1 | 1.0 | 8.6 | 1.7 | 22.0 | 1.8 |
SL | ** | ** | ** | ns | * | ns | ns | ns | ns | ns | ns | ns |
LSD (0.05) | 0.71 | 0.72 | 0.74 | 0.4 | 0.9 | 8.2 | 3.20 | 0.2 | 1,700 | 163 | 10.15 | 1.6 |
Season | ||||||||||||
2018 | 57.1 | 82.4a | 122.4a | 3.6a | 25.8 | 65.0 | 86.8 | 1.0 | 8.4 | 0.9b | 25.1 | 2.2 |
2019 | 56.5 | 73.4b | 111.4b | 2.8b | 26.6 | 64.7 | 85.4 | 1.1 | 7.7 | 2.4a | 21.8 | 2.7 |
SL | ns | ** | ** | ** | ns | ns | ns | ns | ns | ** | ns | ns |
LSD (0.05) | 0.58 | 0.58 | 0.60 | 0.10 | 0.82 | 1.02 | 1.98 | 0.7 | 700 | 946 | 5.1 | 0.6 |
CV (%) | 3.4 | 2.7 | 1.7 | 11.2 | 9.2 | 5.3 | 3.7 | 23.3 | 15.1 | 26.8 | 13.6 | 29.5 |
*, Significant (P < 0.05); **, highly significant (P < 0.01); and ns, non-significant. Means with common letter do not differ significantly (P ≤ 0.05). GC1, ground cover estimation taken at 30 days after sowing; GC2, ground cover estimation taken at 60 days after sowing; GC3, ground cover estimation taken at 90 days after sowing; NVPP, number of primary vine per plant; NF, number of fruits per plant; NMF, number of marketable fruits; NUMF, number of unmarketable fruits; MFY, marketable fruit yield; UMFY, unmarketable fruit yield; SL, significance level; CV, coefficient of variation.

Phenological traits as affected by plant density of watermelon.
Significantly early phenology was manifested by Sugar Baby than Crimson Sweet. Expression of early phenology was observed at Ribb followed by at Woramit. Earlier fruit set and maturity were observed in 2019 than in 2018 (Table 3). Phenological traits variation due to location–season interaction might be associated with temperature variations occurred at each location and seasons. The meteorological data in Figure 1 showed that 2019 was relatively warmer than 2018 at Ribb and Woramit, whereas 2018 was warmer than 2019 at Koga, inversely.
3.2 Vegetative growth performance
The combined ANOVA (Table 2) revealed that number of vine per plant and ground cover taken at 30th, 60th, and 90th days after planting were significantly (P ≤ 0.05) influenced by plant density. However, variety, location, and season did not significantly (P > 0.05) influence these traits except vine per plant due to season and ground cover taken at 30th day after planting due to location. The interaction effects of density–variety, density–location, density–season, variety–season, variety–location, location–season, density–variety–location, density–variety–season, density–location–season, and variety–location–season did not significantly (P > 0.05) influence vine per plant and ground coverage at all stages of watermelon development.
The highest number of vine per plant (3.7) was recorded at the lowest plant density, whereas the lowest number of vine per plant (2.8) was recorded at the highest plant density (Table 3). The reduced number of primary vine per plant as plant density increased at all locations (Figure 3a) is obviously associated with stiff competition of plants for growing resources including nutrients, moisture, and spaces, which in turn reduces the number of vine per plant. Weiner and Freckleton [32] elucidated that the individual plant growth maximized without competition at very low densities. Similarly, Goreta et al. [22] confirmed that the number of vines linearly increased from 3.9 to 4.5 as plant spacing increased from 0.5 to 1.5 m.

Vine number (a) and ground cover attained at (b) 30, (c) 60, and (d) 90 days after planting as affected by plant density at each location.
On the contrary to vine number per plant, increasing plant density increased ground cover percentage during all growth stages of the plant at all locations (Figure 3b–d). Significant maximum ground coverage of 99.6% was achieved with the highest plant density compared with the lowest plant density attained only 65.5% at 90 days after planting. At 60 days after planting, the highest density attained was 82%, whereas the lowest density attained only 42% ground cover. The results of this study are in line with that of Ban et al. [17] and Akintoye et al. [14], where the maximum ground coverage was achieved with denser plant spacing. According to Akintoye et al. [14], the complete ground cover of watermelon plant occurred 68 days after planting, which is relatively earlier than our finding (Table 3). They also reported varietal differences in ground coverage, which was also observed in our study. The results of this study confirmed that maximum ground cover at the highest density affected the fruit-bearing potential of individual plants, which might have resulted from stiff competition for resources. For this instance, 5% of plants at the highest density did not bear any fruits. Moreover, at lowest and the next low plant densities, 44 and 21% of the ground was not covered by the vines, respectively, whereas at the highest density, the ground was fully covered with vines, about 4% of the ground was uncovered by the second highest plant density.
3.3 Fruit yield and yield-related trait performances
3.3.1 Number of fruits
The combined ANOVA showed that density and variety significantly (P ≤ 0.05) influenced fruit number per plant and number of marketable and unmarketable fruits per hectare. However, locations and seasons did not influence these traits except number of unmarketable fruits due to season. Number of fruits per plant marketable and unmarketable fruits per hectare was not significantly (P > 0.05) affected by any of two-way as well as three-way interactions (Table 2).
The maximum number of fruits per plant (1.1) was recorded with the density of 6,172 plant ha−1, which was at par with fruits per plant (1.0) recorded with the density of 8,888 plant ha−1. The minimum number of fruits per plant was produced with the highest plant density compared with other plant densities (Table 3). This difference in the number of fruits per plants could be due to high competition among plants for growth factors including nutrient, sunlight, and space, which is especially serious on plants grown at higher plant density. The current results support the findings of Reiners and Riggs [33] where more than one fruit per plant was obtained at the lowest density, whereas 0.8 fruits per plant at higher plant density. Similarly, Ban et al. [17] reported the decrease of fruit numbers with an increased intra-row spacing. NeSmith [34] also reported that closer plant spacing reduced fruit numbers per plant.
The highest marketable and unmarketable fruit numbers per hectare were obtained at the highest density followed by the second highest density, whereas the lowest numbers were obtained from the lowest plant density (Table 3). The reason for increased marketable and unmarketable fruit numbers at high density is obviously associated with the presence of more plants per hectare that in turn increased fruit numbers. The results of this study are in agreement with the reports of Weiner and Freckleton [32]. Motsenbocker and Arancibia [23] reported that higher number of fruits was obtained at wider spacing. Sanders et al. [15] also reported similar results. Generally, low plant density in this study produced less number of fruits per hectare as compared with higher plant density. The reason behind is elucidated by Weiner and Freckleton [32] when the plants were found at a density below the threshold level.
Sugar Baby produced significantly higher number of fruits per plant (1.30) and number of marketable fruits per hectare (9,100 ha−1) compared with Crimson Sweet variety. Moreover, the number of unmarketable fruits produced by this variety was significantly lower than those produced by Crimson Sweet (Table 3). The difference of varieties toward number of fruits per plant as well as number of marketable and unmarketable fruits recorded in this study is probably associated with the genetic makeup of the varieties. NeSmith [34] observed differences in number of fruits between watermelon varieties. According to the author, Crimson Sweet produced relatively less number of fruits compared with the Star-Brite variety.
3.3.2 Fruit yields
Mean squares generated from the combined ANOVA in Table 2 demonstrate that plant density and variety significantly influenced (P ≤ 0.05) marketable and unmarketable fruit yields, whereas location and season did not significantly (P > 0.05) influence these traits. Marketable and unmarketable fruit yields were not significantly (P > 0.05) influenced by any two-way as well as three-way interaction.
Marketable yield generally showed increasing trend with increased plant density up to the second highest density, which was optimum for watermelon production at all locations (Figure 4a). However, unmarketable yield did not show a return of quadratic curve fit as plant density increased except in Ribb location. As density increased, unmarketable yield also increased linearly (Figure 4b). The highest marketable (32.1 t ha−1) and unmarketable (4.27 t ha−1) fruit yields were obtained from the highest plant density (Table 3). However, marketable yield obtained from the highest plant density was not statistically different with the yield (31.9 t ha−1) obtained from second highest plant density. In contrast, lowest marketable and unmarketable yields were recorded from the lowest plant density, which reduced the marketable fruit yield by 61% compared with the yields obtained from the first and the second highest plant densities.

Trends of watermelon fruit yield (a) marketable and (b) unmarketable (t ha−1) as influenced by plant density in each location.
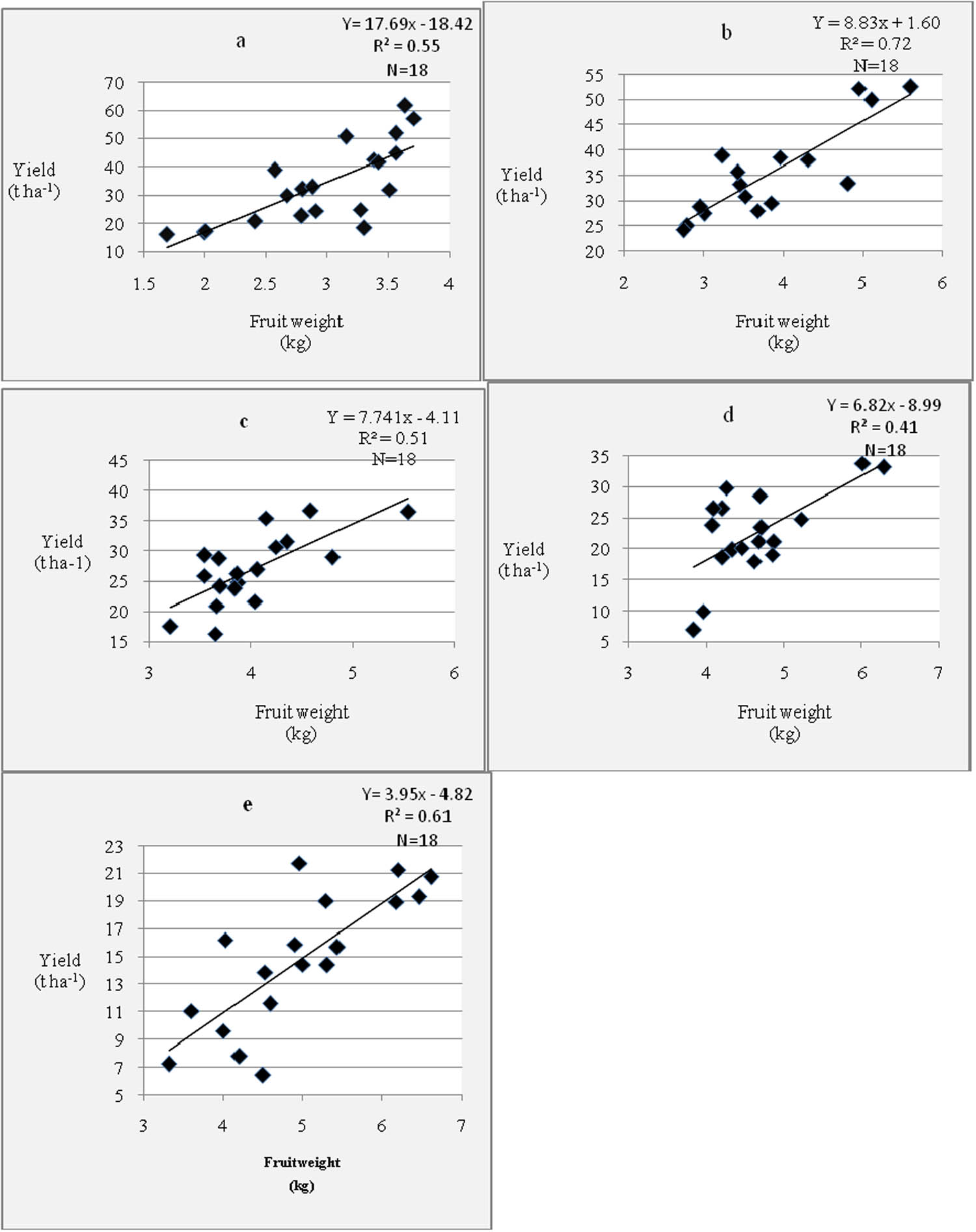
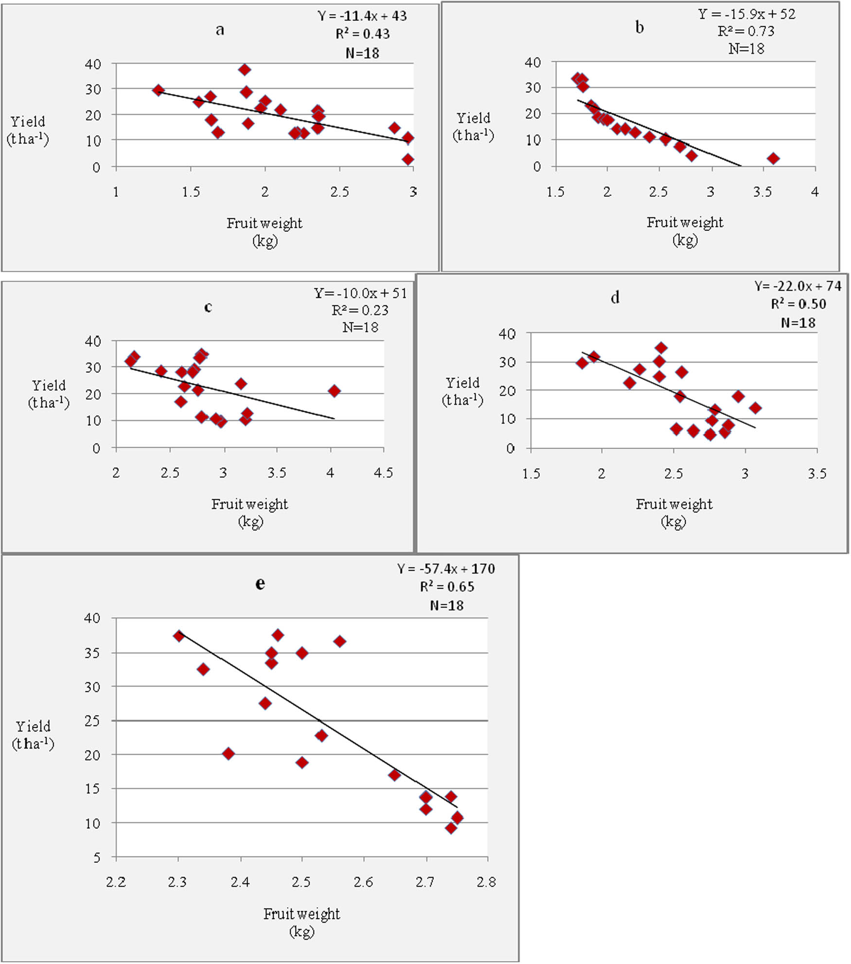
Yield increased with increasing plant density is due to the accommodation of more plants per unit area that in turn increased the fruit yield per unit area. The results of this study showed similar trends with findings of different researchers [14,17,22,23,33,35]. According to Weiner and Freckleton [32], the amount of resources in the environment determines the final yield of a given species or genotype. Therefore, the density of a given crop can be considered as a yield limiting factor. The positive relationship between yield and fruit weight shown in Figure 5 demonstrates that yield differences observed within each plant density were brought mainly due to fruit weight for Crimson Sweet variety. However, the negative relationship of yield and fruit weight demonstrates the yield differences observed within each plant density were brought mainly due to the differences in the number of fruits harvested rather than fruit weight in Sugar Baby variety (Figure 6). The relationship between fruit yield and number of fruits of the tested varieties presented in Figure 7a and b also showed that fruit yield is positively increased as the number of fruits increased due to the increase in plant density.

Relationship between fruit yield and weight of Crimson Sweet variety within each plant density: (a) 24,690 ha−1, (b) 13,888 ha−1, (c) 8,888 ha−1, (d) 6,172 ha−1, and (e) 4,535 ha−1.

Relationship between fruit yield and weight of Sugar Baby within each plant density: (a) 24,690 ha−1, (b) 13,888 ha−1, (c) 8,888 ha−1, (d) 6,172 ha−1, and (e) 4,535 ha−1.

Linear regression of fruit yield on fruit number from (a) Crimson Sweet variety and (b) Sugar Baby variety.
The highest fruit yields that were recorded from the highest (32.1 t ha−1) and the next highest plant densities (31.9 t ha−1) in this study are generally lower than the findings of Kumar and Wehner [36], which reported fruit yield of about 51 t ha−1. The marketable fruit yields obtained with the first and second highest plant densities were statistically similar (Table 3). However, about 71% of the fruits produced in the highest density were in mini fruit size category while only about 59% in the next highest density (Table 4). Yield increasing trend with increased plant density observed in this study is similar with the findings of Akintoye et al. [14].
Main effects of density, variety, location, and season on fruit size category and quality attributes of watermelon
Mini (%) | Icebox (%) | Small (%) | FL (cm) | FW (cm) | FWt (kg) | RT (cm) | JC (mL) | pH | TSS (%) | |
---|---|---|---|---|---|---|---|---|---|---|
Density (ha−1) | ||||||||||
24,690 | 70.9a | 16.1c | 13.0e | 18.0c | 17.7c | 2.5d | 1.1d | 975.8 | 6.01 | 9.32d |
13,888 | 58.6b | 21.7a | 19.6d | 19.1b | 18.6b | 3.1c | 1.1d | 977.8 | 6.03 | 9.58c |
8,888 | 53.4c | 21.6a | 24.9c | 19.2b | 18.7ab | 3.2c | 1.2c | 975.6 | 6.02 | 9.85ab |
6,172 | 50.5c | 17.7bc | 31.7b | 19.2b | 18.7ab | 3.6b | 1.3b | 982.1 | 5.97 | 9.93ab |
4,535 | 42.0d | 18.1b | 39.8a | 19.7a | 19.1a | 3.9a | 1.5a | 983.1 | 5.98 | 10.03a |
SL | * | * | * | * | ** | * | ** | ns | ns | * |
LSD (0.05) | 3.1 | 1.9 | 2.8 | 0.4 | 0.4 | 0.2 | 0.1 | 13.0 | 0.1 | 0.14 |
Variety | ||||||||||
Crimson Sweet | 37.3b | 21.0a | 41.6a | 20.0a | 19.4a | 4.1a | 1.4a | 972.1b | 5.88b | 9.75 |
Sugar Baby | 72.8a | 17.2b | 10.0b | 18.1b | 17.7b | 2.4b | 1.2b | 985.8a | 6.13a | 9.74 |
SL | ** | * | ** | ** | * | ** | ** | ** | * | ns |
LSD (0.05) | 2.0 | 1.2 | 1.8 | 0.24 | 0.25 | 0.11 | 0.03 | 2.1 | 0.04 | 0.09 |
Location | ||||||||||
Ribb | 46.4c | 18.6 | 35.0a | 20.3a | 19.5a | 3.7 | 1.2 | 983.5 | 5.95 | 9.75 |
Woramit | 57.8b | 20.6 | 21.5b | 18.5b | 17.8c | 3.0 | 1.3 | 980.4 | 6.23 | 9.89 |
Koga | 60.9a | 18.1 | 21.0b | 18.2b | 18.4b | 3.1 | 1.3 | 972.7 | 5.84 | 9.59 |
SL | ** | ns | ** | * | * | * | ns | ns | ns | ns |
LSD (0.05) | 2.4 | 2.43 | 2.16 | 0.29 | 0.30 | 0.13 | 0.1 | 10.5 | 0.40 | 0.40 |
Season | ||||||||||
2018 | 54.5 | 22.6a | 22.92 | 18.7b | 18.2b | 3.3 | 1.3 | 975.1 | 5.91 | 9.00b |
2019 | 55.7 | 15.6b | 28.72 | 19.4a | 18.9a | 3.2 | 1.3 | 982.6 | 6.10 | 10.49a |
SL | ns | ** | ns | * | * | ns | ns | ns | ns | ** |
LSD (0.05) | 2.0 | 1.18 | 6.76 | 0.24 | 0.25 | 0.10 | 0.03 | 8.08 | 0.13 | 0.09 |
CV (%) | 12.0 | 20.7 | 23.3 | 4.4 | 4.5 | 10.8 | 8.9 | 1.7 | 2.0 | 3.4 |
*, Significant (P < 0.05); **, highly significant (P < 0.01); and ns, non-significant. Means with common letter do not differ significantly (P ≤ 0.05). Mini, mini- sized fruit category; Icebox, icebox-sized fruit category; Small, small-sized fruit category; FL, fruit length; FW, fruit width; FWt, fruit weight; RT, rind thickness; JC, juice content; TSS, total soluble solids; SL, significance level; CV, coefficient of variation.
Crimson Sweet produced the highest marketable of 27 t ha−1 and unmarketable (3.0 t ha−1) yields compared with Sugar Baby, which could be associated with the genetic yielding potential of the varieties (Table 3). Although Sugar Baby variety produced the highest number of fruits per plant and per hectare, low fruit yield is associated with low weight of the individual fruit of this variety. The mean fruit weight of Crimson was 4.1 kg, whereas that of Sugar Baby was only 2.4 kg (Table 4). The findings of this study implicate that the productivity of watermelon could be boosted through appropriate variety and optimum plant density that may improve the efficiency of resources utilization.
3.3.3 Fruit size category
The ANOVA revealed that fruit size category was significantly (P ≤ 0.05) influenced by plant density, variety, and location except for medium-sized fruits due to location. However, fruit size category was not significantly (P > 0.05) affected by season except medium-sized fruits. Moreover, fruit size category was not significantly (P > 0.05) influenced by any two-way as well as three-way interactions (Table 2).
As indicated in Table 4, about 71, 16, and 13% of the fruits produced from the highest density were categorized in to mini, icebox, and small fruit size category, respectively, whereas in the lowest density, about 42, 18, and 40% of the fruits were mini, icebox, and medium, respectively. The percentage of mini-sized fruits linearly increased with the increase in plant density (Figure 8a), whereas the small-sized fruits decreased inversely at each location (Figure 8b). Accordingly, high marketable fruits obtained from the highest plant density were mini in size, which might be less preferred by consumers.

Fruit size distribution: (a) mini fruits and (b) small fruits trends as affected by plant density entries.
The results in fruit size category are in agreement with the findings of researchers who reported more number of fruits from high plant density watermelon plants with more extra-small and small watermelons [17,23,33,37]. Sanders et al. [15] also reported that as density decreased, the number of medium-sized fruits decreased, whereas the number of large-sized fruits increased significantly. Despite the benefits of increased fruit size in low density watermelon plants, Goreta et al. [22] emphasized on the yield reduction that arises due to low plant density.
Fruit size in relation to variety, significantly high percentage of mini-sized fruits was produced from Sugar Baby compared with Crimson Sweet variety where about 73% of the fruits of Sugar Baby were mini sized. However, only 37% of the fruits produced from Crimson Sweet were grouped under this category (Table 4). Generally, Crimson Sweet produced relatively bigger fruits compared with Sugar Baby, which could be associated with the genetic factor of the variety. Similar to this study, McCuistion et al. [29] reported that Crimson Sweet produces large-sized fruits than Sugar Baby. The findings of this study are, however, disagreed with that of NeSmith [34], which reported that watermelon varieties have similar fruit size category.
As indicated in Table 4, a low proportion of mini-sized and a high proportion of small-sized fruits were obtained at Ribb compared with Woramit and Koga locations, which could be related to the prevailing temperatures during the growing season at Ribb (Figure 1). In this regard, Noh et al. [38] found that heating of the temperature to 18°C during the fruit formation significantly increased fruit weight when compared with 14°C and the control without any additional temperature treatment. Moreover, the soil of Ribb site had relatively high cation exchange capacity (CEC) and neutral (Table 1), which may contribute to the improvement of the fruit size of watermelon.
3.4 Physico-chemical quality attributes of fruits
3.4.1 Fruit physical attributes
Fruit length and width were significantly (P ≤ 0.05) influenced by density, variety, location, and season. Fruit weight and rind thickness also were significantly (P ≤ 0.05) influenced by density and variety, but location and season did not influence these physical quality attributes of watermelon fruits. Moreover, fruit length and width of watermelons were influenced by location–season interaction. However, fruit physical quality attributes did not significantly (P > 0.05) influenced by interaction of density–variety, density–location, density–season, variety–location, variety–season, density–variety–location, density–location–season, and density–variety–season (Table 2).
A perusal of pool data over location and season in Table 4 indicates that the highest length (19.7 cm), width (19.1 cm), and weight (3.8 kg) of watermelon fruits as well as and highest rind thickness (1.5 cm) of the fruits were recorded from the lowest density. This difference is obviously due to stiff competition of the plants for growth factors that influence the physical quality attributes at high density. Generally, physical quality attributes were increased as the plant density decreased.
The highest fruit physical quality attributes that were obtained at the lowest plant density could be probably due to less self-shading that leads to maximum light interception of photosynthesis. According to Pereira et al. [39], accumulation of dry matter reached its highest peak under full sun, which may attribute to the promotion of root growth by photo-assimilation and thus enhance use of all soil resources. Astonishingly the values of fruit length obtained in each plant density were higher than the corresponding values of fruit width except at Koga site (separate location analysis data not presented). These phenomena may indicate that the fruit shape difference is due to growing environment. As Figure 1 indicates, the minimum temperatures during the experimental period recorded at Koga site were quite low, especially during the 2019 growing season. Moreover, the CEC of the experimental soil at Koga site was relatively high, which manifested by low available P in both growing seasons (Table 1).
The results of this study clearly showed the gradual decrease of fruit weight increment as the plant density is decreased. Accordingly, about 0.6 kg per fruit weight increment was observed as the density decreased from 24,690 to 13,888 plants ha−1, while 0.9, 0.4, and 0.2 kg per fruit weight increments were observed as plant density reduced from 13,888 to 8,888, from 8,888 to 6,172, and from 6,172 to 4,535 plants ha−1, respectively. These results indicate the importance of optimizing plant density for improved yield and physical quality of watermelon. The results are in agreement with the findings of Goreta et al. [22], which showed increased fruit weights with decreased plant density. Similarly, Ban et al. [17] reported the increase of mean fruit weight at low density. The decrease in fruit weight was also observed as the plant density increased [34].
Fruit weight of watermelon in this study was generally in the range between 2.5 kg at high density and 4.0 kg at low density (Table 4), which is in the acceptable range for most of the consumers. Fruits less than 3 kg are mostly preferable by local markets due to high cost of big watermelon [27]. Therefore, these fruits were obtained when they were produced with 23,690 and 13,888 ha−1 plant densities. In this regard, Gusmini and Wehner [31] reported that fruits not more than 3.5 kg in weight are popular by consumers in the United States. However, small watermelon fruits are preferred in Brazil and have better market prices [25,40]. Decreasing plant density in this study also increased the rind thickness, which has a positive effect in prolonging the shelf life of fruits. According to Park and Cho [24], short shelf life is mostly associated with thin and soft rind. Therefore, minimizing the plant density can be used as one strategy to enhance fruit shelf life of watermelon.
Significantly (P ≤ 0.05) better fruit physical parameters such as length (20.0 cm), width (19.4 cm), weight (4.1 kg), and rind thickness (1.4 cm) were obtained from Crimson Sweet when compared with Sugar Baby (Table 4), which may be associated with the genetic makeup of the varieties. Similar to this study, Akintoye et al. [14] found significant differences in rind thickness among varieties. Significantly better fruit physical parameters such as length and width were obtained at Ribb location and in 2019 growing environment.
3.4.2 Fruit chemical quality attributes
Watermelon variety exhibited significant (P ≤ 0.05) variations in their fruit juice content and its pH value. However, these parameters were not significantly influenced (P > 0.05) by plant density. Interestingly TSS of watermelon fruits was significantly influenced by density and insignificantly by variety where the highest TSS was recorded from the lower plant density. Location and season did not affect all the tested fruit chemical quality parameters except TSS by season. Among the chemical quality parameters, only TSS was significantly influenced by the interaction effects of location–season and variety–location (Table 2).
TSS value was ranged from 9.3 with the highest density to 10.03 with the lowest density. The highest TSS recorded with the lowest density in this study could be associated with the reduction of shading effect of the plants at lower plant density, which may contribute to high sugar content of watermelon fruits. In this regard, Watson [41] observed an inverse relationship between sugar concentration and level of shading. Similarly, Ford [42] also reported that fruits harvested from watermelon plants with two vines had 18% more TSS than those fruits harvested from watermelon plants with four vines. Highest juice content (985.67 mL) and pH (6.13) value were obtained from fruits of Sugar Baby compared with Crimson Sweet (Table 4). TSS difference between varieties was shown at all locations except at Koga (separate location analysis data not presented). The temperature at Koga during growth months and seasons shows the minimum record especially in 2019 (Figure 1). According to the finding of Noh et al. [38], temperature treatment at 18°C during fruit formation caused significant increase in soluble solid content (11.5%), compared with 14°C (10.6%) and the control (10.8%). Moreover, although the CEC of the soil was high at Koga, its low pH (Table 1) affects the availability of nutrients.
According to Gusmini and Wehner [31], successful cultivars must have acceptable quality traits other than yield. Sweetness in watermelon is associated to TSS [43,44,45,46,47]. According to Park and Cho [24], sweetness is still a prerequisite for a high quality of watermelon fruits. Therefore, the study areas identified as suitable locations to obtain the expected quality attribute like TSS. The highest TSS (11.08%) was obtained from fruits produced at Woramit in 2019. Generally, fruits produced in 2019 at all locations were characterized with high TSS compared with those produced in 2018 could be due to differences in temperature over the study periods (data not presented).
4 Conclusion
The study revealed that planting density and variety were not influenced by location and season. The response of watermelon in terms of yield, quality attributes, and growth was affected by plant density and variety. Hence each location does not require its own specific plant density recommendation. Any addition of plant density beyond 13,888 plant ha−1 did not bring additional yield but reduced in quality attributes of the produce. Crimson Sweet was identified as the best variety for watermelon production in the study areas. Generally, the study gives clear information about the need to identify optimum plant density and specifically adapted variety to enhance watermelon production. Therefore, it is concluded that Crimson Sweet variety with the spacing of 120 inter-row and 60 cm intra-row spacing, which accommodates plant density of 13,888 ha−1 is optimum for watermelon production. The study also suggests the use of low plant density for growers who seeks to improve the quality attributes like fruit weight and TSS according to the market preference.
Acknowledgments
The authors acknowledge Amhara Region Agricultural Research Institute and Bahir Dar University, College of Agriculture and Environmental Sciences for providing planting materials, fertilizers laboratory, and other equipment to accomplish field and laboratory works successfully. They also indebted to Adet Agricultural Research Center and Woramit and Horticultural crops research and training sub-center staff for their assistance during field experiment.
-
Funding information: The authors state no funding involved.
-
Conflict of interest: The authors state no conflict of interest.
-
Data availability statement: The datasets generated during and/or analyzed during the current study are available from the corresponding author on reasonable request.
References
[1] Wehner TC. Watermelon. In: Nuez F, Carena M, Prohens J, editors. Handbook of plant breeding, Vegetable I. New York, USA: Springer; 2008. p. 381–418.10.1007/978-0-387-30443-4_12Search in Google Scholar
[2] Maynard DN. An introduction to the watermelon. In: Maynard DN, editor. Watermelon characteristics, production and marketing. Alexandria: ASHS Press; 2001. p. 9–20.Search in Google Scholar
[3] Wehner TC, Shetty NV, Elmstrom GW. Watermelons: characteristics, production, and marketing. In: Maynard DN, editor. Breeding and seed production. Alexandria VA: ASHS Press; 2001. p. 27–73.Search in Google Scholar
[4] Zhou W. Demand for watermelon and application of aids models. USA: University of Florida; 2011. Available from: http://www.ghbook.ir/index.php.Search in Google Scholar
[5] Garster H. The potential role of lycopene for human health. J Am Coll Nutr. 1997;16:109–26.10.1080/07315724.1997.10718661Search in Google Scholar PubMed
[6] Holden JM, Eldridge AL, Beecher GR, Buzzard IM, Bhagwat SA, Davis CS, et al. Carotenoid content of U.S. foods: an update of the database. J Food Comp Anal. 1999;12:169–96.10.1006/jfca.1999.0827Search in Google Scholar
[7] USAID. Commodity development plan: watermelon. Albania Agricultural Competativeness, 2008; DAI.Search in Google Scholar
[8] Perkins-Veazie JK, Pair SD, Roberts W. Lycopene content differs among red-fleshed watermelon cultivars. J Sci Food Agric. 2001;81:983–7.10.1002/jsfa.880Search in Google Scholar
[9] Perkins-Veazie JK, Davis AR, Roberts W. Carotenoid content of 50 watermelon cultivars. J Agric Food Chem. 2006;54(7):2593–7. 10.1021/jf052066p.Search in Google Scholar PubMed
[10] FAO. Watermelon crop information; 2019. Available from: http://www.fao.org/land-water/databases-and-software/crop-information/watermelon/en/.Search in Google Scholar
[11] Gusmini G, Wehner CT. Fifty-five years of yield improvement for cucumber, melon, and watermelon in the United States. Hort Technol. 2008;18(1):9–12. 10.21273/horttech.18.1.9.Search in Google Scholar
[12] Shinozaki K, Kira T. Intraspecific competition among higher plants VII logistic theory of the C-D effect. J Inst Polytech Osaka City Univ. 2011;7:35–72.Search in Google Scholar
[13] Lu W, Edelson JV, Duthie JA, Roberts BW. A comparison of yield between high and low intensity management for three watermelon cultivars. Hort Sci. 2003;38:351–6.10.21273/HORTSCI.38.3.351Search in Google Scholar
[14] Akintoye HA, Kintomo AA, Adekunle AA. Yield and fruit quality of watermelon in response to plant population. Int J Veg Sci. 2009;15(4):369–80. 10.1080/19315260903012110.Search in Google Scholar
[15] Sanders DC, Cure JD, Schultheis JR. Yield response of watermelon to planting density, planting pattern, and polyethylene mulch. Hort Sci. 1999;34(7):1221–3. 10.21273/hortsci.34.7.1221.Search in Google Scholar
[16] Boyhan GE, Granberry DM, Kelley WT. Commercial watermelon production; 2017. Available from: http://www.ghbook.ir/index.phpSearch in Google Scholar
[17] Ban D, Ban SG, Oplanić M, Horvat J, Novak B, Žanić K, et al. Growth and yield response of watermelon to in-row plant spacings and mycorrhiza. Chil JAR. 2011;71(4):497–502. 10.4067/s0718-58392011000400001.Search in Google Scholar
[18] Sabo MU, Wailare MA, Aliyu M, Shuaibu YM. Effect of NPK fertilizer and spacing on growth and yield of watermelon (Citrillus lanatus L.) in Kaltungo local government area of Gombe state, Nigeria. Sch J Agric Sci. 2013;3(8):325–30.Search in Google Scholar
[19] Dantata IJ. Assessing watermelon cultivars under different planting distances in Bauchi North, Nigeria. Asian J Appl Sci. 2014;2(3):381–6.Search in Google Scholar
[20] Adlan MA, Abu-Sarra AF. Effects of plant density on yield and quality of watermelon (Citrullus Lanatus Thunb) under Gezira conditions, Sudan. Net J Agric Sci. 2018;6(1):1–5. 10.30918/njas.61.17.058.Search in Google Scholar
[21] Davis AR, Webber CL, Perkins-Veazie P, Ruso V, Lopez Galarza S, Sakata Y, et al. A review of production systems on watermelon quality. In Cucurbitaceae, Proceedings of the IXth EUCARPIA Meeting on Genetics and Breeding of Cucurbitaceae; 2008. p. 515–20.Search in Google Scholar
[22] Goreta S, Perica AS, Dumicic G, Bucan L, Katja Z. Growth and yield of watermelon on polyethylene mulch with different spacings and nitrogen rates. Hort Sci. 2005;40(2):366–9. 10.21273/hortsci.40.2.366.Search in Google Scholar
[23] Motsenbocker CE, Arancibia RA. In-row spacing influences triploid watermelon yield and crop value. Hort Technol. 2002;12(3):437–40. 10.21273/horttech.12.3.437.Search in Google Scholar
[24] Park Y, Cho S. Watermelon production and breeding in South Korea. Isr J Plant Sci. 2012;60(4):415–23. 10.1560/IJPS.60.4.415.Search in Google Scholar
[25] Campagnol R, Mello S, Barbosa JC. Vertical growth of mini watermelon according to the training height and plant density. Hortic Bras. 2012;30(4):726–32. 10.1590/s0102-05362012000400027.Search in Google Scholar
[26] Fanos M. Watermelons a great opportunity for Ethiopian producers; 2014. Lives project report.Search in Google Scholar
[27] Tigist S. Nutritional composition, antinutritional factors and antioxidant properties of different local varieties of watermelon fruit from around Koka, Ethiopia. Adiss Ababa, Ethiopia: Addis Ababa University; 2016.Search in Google Scholar
[28] Hochmuth G, Bennett J. Nutrient mass budget – the case of Florida watermelon phosphorus export. USA: The Institute of Food and Agricultural Sciences (IFAS), University of Florida; 2014.Search in Google Scholar
[29] McCuistion, Elmstrom GW, Fred R. Vegetable cultivar descriptions for North America. watermelon, lists 1954–2002 combined. Raleigh, NC, USA: Department of Horticultural Science, North Carolina State University; 2005.Search in Google Scholar
[30] Maggs-Kölling GL, Christiansen JL. Variability in Namibian landraces of watermelon (Citrullus lanatus). Euphytica. 2003;132(3):251–8. 10.1023/A:1025053331528.Search in Google Scholar
[31] Gusmini G, Wehner TC. Foundations of yield improvement in watermelon. Crop Sci. 2005;45(1):141–6. 10.2135/cropsci2005.0810.Search in Google Scholar
[32] Weiner J, Freckleton RP. Constant final yield. Annu Rev Ecol Evolut Syst. 2010;41(1):173–92. 10.1146/annurev-ecolsys-102209-144642.Search in Google Scholar
[33] Reiners S, Riggs IM. Plant population affects yield and fruit size of pumpkin. Hort Sci. 1999;34(6):1076–8. 10.21273/hortsci.34.6.1076.Search in Google Scholar
[34] NeSmith DS. Plant spacing influences watermelon yield and yield components. Hort Sci. 1993;28(9):885–7. 10.21273/hortsci.28.9.885.Search in Google Scholar
[35] Ban D, Žanić K, Dumičić G, Čuljak TG, Ban SG. The type of polyethylene mulch impacts vegetative growth, yield, and aphid populations in watermelon production. J Food Agricult Environ. 2009;7(3 and 4):543–50.Search in Google Scholar
[36] Kumar R, Wehner TC. Breeding for yield in watermelon–a review. Hort Sci. 2011;42(6):1332–6.Search in Google Scholar
[37] Aguyoh JN, Audi W, Saidi M, Gao-Qiong L. Growth, yield and quality response of watermelon (C. Itrullus Lanatus [Thunb] Mansf and Nakia) CV. Crimson Sweet subjucted to different lelvels of Tithonia manure. Int J Sci Nat. 2009;1(1):7–11.Search in Google Scholar
[38] Noh J, Kim JM, Sheikh S, Lee SG, Lim JH, Seong MH, et al. Effect of heat treatment around the fruit set region on growth and yield of watermelon [Citrullus lanatus (Thunb.) Matsum. and Nakai]. Physiol Mol Bio Plants. 2013;19(4):509–14. 10.1007/s12298-013-0174-6.Search in Google Scholar PubMed PubMed Central
[39] Pereira FH, Puiatti M, Fernando LF, Cecon PR. Growth, assimilate partition and yield of melon charenthais under different shading screens. Hortic Bras. 2011;29(2011):91–7.10.1590/S0102-05362011000100015Search in Google Scholar
[40] Nascimento TL, Souza FD, Dias DS, Da Silva EF. Agronomic characterization and heterosis in watermelon genotypes. Pesq Agropec Trop Goiânia. 2018;48(2):170–7. 10.1590/1983-40632018v4851779.Search in Google Scholar
[41] Watson R. Influence of harvest date and light integral on the development of strawberry flavour compounds. J Exp Botany. 2002;53(377):2121–9. 10.1093/jxb/erf088.Search in Google Scholar PubMed
[42] Ford RJ. The effect of shading and crop load on flavour and aroma compounds in sauvignon blanc grapes and wine. Pennsylvania: Lincoln University; 2007.Search in Google Scholar
[43] Maynard DN, Dunlap AM, Sidoti BJ. Sweetness in diploid and triploid watermelon fruit. Cucurbit Genet Cooperative Rep. 2002;35(2002):32–5. Available from: http://cuke.hort.ncsu.edu/cgc/cgc25/cgc25-12.pdf.Search in Google Scholar
[44] Beaulieu JC, Lea JM, Eggleston G, Peralta-Inga Z. Sugar and organic acid variations in commercial cantaloupes and their inbred parents. J Amer Soc Hort Sci. 2003;128(4):531–6. 10.21273/jashs.128.4.0531.Search in Google Scholar
[45] Gong C, Diao W, Zhu H, Umer M, Zhao S, Yi-Hong W, et al. Metabolome and transcriptome integration reveals insights into flavor formation of “Crimson” watermelon flesh during fruit development. Front Plant Sci. 2021;12:629361. 10.3389/fpls.2021.629361.Search in Google Scholar PubMed PubMed Central
[46] Fall LA, Perkins-Veazie P, Ma G, McGregor C. QTLs associated with flesh quality traits in an elite × elite watermelon population. Euphytica. 2019;215:30. 10.1007/s10681-019-2356-y.Search in Google Scholar
[47] Cheng Y, Luan F, Wang X, Gao P, Zhu Z, Liu S, et al. Construction of a genetic linkage map of watermelon (Citrullus lanatus) using CAPS and SSR markers and QTL analysis for fruit quality traits. Sci Hortic. 2016;202:25–31. 10.1016/j.scienta.2016.01.004.Search in Google Scholar
© 2021 Habtamu Tegen et al., published by De Gruyter
This work is licensed under the Creative Commons Attribution 4.0 International License.
Articles in the same Issue
- Regular Articles
- The nutmeg seedlings growth under pot culture with biofertilizers inoculation
- Recovery of heather (Calluna vulgaris) flowering in northern Finland
- Soil microbiome of different-aged stages of self-restoration of ecosystems on the mining heaps of limestone quarry (Elizavetino, Leningrad region)
- Conversion of land use and household livelihoods in Vietnam: A study in Nghe An
- Foliar selenium application for improving drought tolerance of sesame (Sesamum indicum L.)
- Assessment of deficit irrigation efficiency. Case study: Middle Sebou and Innaouene downstream
- Integrated weed management practices and sustainable food production among farmers in Kwara State, Nigeria
- Determination of morphological changes using gamma irradiation technology on capsicum specie varieties
- Use of maturity traits to identify optimal harvestable maturity of banana Musa AAB cv. “Embul” in dry zone of Sri Lanka
- Theory vs practice: Patterns of the ASEAN-10 agri-food trade
- Intake, nutrient digestibility, nitrogen, and mineral balance of water-restricted Xhosa goats supplemented with vitamin C
- Physicochemical properties of South African prickly pear fruit and peel: Extraction and characterisation of pectin from the peel
- An evaluation of permanent crops: Evidence from the “Plant the Future” project, Georgia
- Probing of the genetic components of seedling emergence traits as selection indices, and correlation with grain yield characteristics of some tropical maize varieties
- Increase in the antioxidant content in biscuits by infusions or Prosopis chilensis pod flour
- Altitude, shading, and management intensity effect on Arabica coffee yields in Aceh, Indonesia
- Climate change adaptation and cocoa farm rehabilitation behaviour in Ahafo Ano North District of Ashanti region, Ghana
- Effect of light spectrum on growth, development, and mineral contents of okra (Abelmoschus esculentus L.)
- An assessment of broiler value chain in Nigeria
- Storage root yield and sweetness level selection for new honey sweet potato (Ipomoea batatas [L.] Lam)
- Direct financial cost of weed control in smallholder rubber plantations
- Combined application of poultry litter biochar and NPK fertilizer improves cabbage yield and soil chemical properties
- How does willingness and ability to pay of palm oil smallholders affect their willingness to participate in Indonesian sustainable palm oil certification? Empirical evidence from North Sumatra
- Investigation of the adhesion performance of some fast-growing wood species based on their wettability
- The choice of information sources and marketing channel of Bali cattle farmers in Bali Province
- Preliminary phytochemical screening and in vitro antibacterial activity of Plumbago indica (Laal chitrak) root extracts against drug-resistant Escherichia coli and Klebsiella pneumoniae
- Agronomic and economic performance of maize (Zea mays L.) as influenced by seed bed configuration and weed control treatments
- Selection and characterization of siderophores of pathogenic Escherichia coli intestinal and extraintestinal isolates
- Effectiveness of cowpea (Vigna unguiculata L.) living mulch on weed suppression and yield of maize (Zea mays L.)
- Cow milk and its dairy products ameliorate bone toxicity in the Coragen-induced rat model
- The motives of South African farmers for offering agri-tourism
- Morphophysiological changes and reactive oxygen species metabolism in Corchorus olitorius L. under different abiotic stresses
- Nanocomposite coatings for hatching eggs and table eggs
- Climate change stressors affecting household food security among Kimandi-Wanyaga smallholder farmers in Murang’a County, Kenya
- Genetic diversity of Omani barley (Hordeum vulgare L.) germplasm
- Productivity and profitability of organic and conventional potato (Solanum tuberosum L.) production in West-Central Bhutan
- Response of watermelon growth, yield, and quality to plant density and variety in Northwest Ethiopia
- Sex allocation and field population sex ratio of Apanteles taragamae Viereck (Hymenoptera: Braconidae), a larval parasitoid of the cucumber moth Diaphania indica Saunders (Lepidoptera: Crambidae)
- Comparison of total nutrient recovery in aquaponics and conventional aquaculture systems
- Relationships between soil salinity and economic dynamics: Main highlights from literature
- Effects of soil amendments on selected soil chemical properties and productivity of tef (Eragrostis tef [Zucc.] Trotter) in the highlands of northwest Ethiopia
- Influence of integrated soil fertilization on the productivity and economic return of garlic (Allium sativum L.) and soil fertility in northwest Ethiopian highlands
- Physiological and biochemical responses of onion plants to deficit irrigation and humic acid application
- The incorporation of Moringa oleifera leaves powder in mutton patties: Influence on nutritional value, technological quality, and sensory acceptability
- Response of biomass, grain production, and sugar content of four sorghum plant varieties (Sorghum bicolor (L.) Moench) to different plant densities
- Assessment of potentials of Moringa oleifera seed oil in enhancing the frying quality of soybean oil
- Influences of spacing on yield and root size of carrot (Daucus carota L.) under ridge-furrow production
- Review Articles
- A review of upgradation of energy-efficient sustainable commercial greenhouses in Middle East climatic conditions
- Plantago lanceolata – An overview of its agronomically and healing valuable features
- Special Issue on CERNAS 2020
- The role of edible insects to mitigate challenges for sustainability
- Morphology and structure of acorn starches isolated by enzymatic and alkaline methods
- Evaluation of FT-Raman and FTIR-ATR spectroscopy for the quality evaluation of Lavandula spp. Honey
- Factors affecting eating habits and knowledge of edible flowers in different countries
- Ideal pH for the adsorption of metal ions Cr6+, Ni2+, Pb2+ in aqueous solution with different adsorbent materials
- Determination of drying kinetics, specific energy consumption, shrinkage, and colour properties of pomegranate arils submitted to microwave and convective drying
- Eating habits and food literacy: Study involving a sample of Portuguese adolescents
- Characterization of dairy sheep farms in the Serra da Estrela PDO region
- Development and characterization of healthy gummy jellies containing natural fruits
- Agro-ecological services delivered by legume cover crops grown in succession with grain corn crops in the Mediterranean region
- Special issue on CERNAS 2020: Message from the Editor
- Special Issue on ICESAT 2019
- Climate field schools to increase farmers’ adaptive capacity to climate change in the southern coastline of Java
- Special Issue on the International Conference on Agribusiness and Rural Development - IConARD 2020
- Supply chain efficiency of red chili based on the performance measurement system in Yogyakarta, Indonesia
- Sustainable value of rice farm based on economic efficiency in Yogyakarta, Indonesia
- Enhancing the performance of conventional coffee beans drying with low-temperature geothermal energy by applying HPHE: An experimental study
- Opportunities of using Spirulina platensis as homemade natural dyes for textiles
- Special Issue on the APA 2019 - 11th Triennial Conference
- Expanding industrial uses of sweetpotato for food security and poverty alleviation
- A survey on potato productivity, cultivation and management constraints in Mbala district of Northern Zambia
- Orange-fleshed sweetpotato: Strategies and lessons learned for achieving food security and health at scale in Sub-Saharan Africa
- Growth and yield of potato (Solanum tuberosum L.) as affected by storage conditions and storage duration in Jos, Plateau State, Nigeria
- Special Issue on the International Conference on Multidisciplinary Research - Agrarian Sciences
- Application of nanotechnologies along the food supply chain
- Special Issue on Agriculture, Climate Change, Information Technology, Food and Animal (ACIFAS 2020)
- The use of endophytic growth-promoting bacteria to alleviate salinity impact and enhance the chlorophyll, N uptake, and growth of rice seedling
Articles in the same Issue
- Regular Articles
- The nutmeg seedlings growth under pot culture with biofertilizers inoculation
- Recovery of heather (Calluna vulgaris) flowering in northern Finland
- Soil microbiome of different-aged stages of self-restoration of ecosystems on the mining heaps of limestone quarry (Elizavetino, Leningrad region)
- Conversion of land use and household livelihoods in Vietnam: A study in Nghe An
- Foliar selenium application for improving drought tolerance of sesame (Sesamum indicum L.)
- Assessment of deficit irrigation efficiency. Case study: Middle Sebou and Innaouene downstream
- Integrated weed management practices and sustainable food production among farmers in Kwara State, Nigeria
- Determination of morphological changes using gamma irradiation technology on capsicum specie varieties
- Use of maturity traits to identify optimal harvestable maturity of banana Musa AAB cv. “Embul” in dry zone of Sri Lanka
- Theory vs practice: Patterns of the ASEAN-10 agri-food trade
- Intake, nutrient digestibility, nitrogen, and mineral balance of water-restricted Xhosa goats supplemented with vitamin C
- Physicochemical properties of South African prickly pear fruit and peel: Extraction and characterisation of pectin from the peel
- An evaluation of permanent crops: Evidence from the “Plant the Future” project, Georgia
- Probing of the genetic components of seedling emergence traits as selection indices, and correlation with grain yield characteristics of some tropical maize varieties
- Increase in the antioxidant content in biscuits by infusions or Prosopis chilensis pod flour
- Altitude, shading, and management intensity effect on Arabica coffee yields in Aceh, Indonesia
- Climate change adaptation and cocoa farm rehabilitation behaviour in Ahafo Ano North District of Ashanti region, Ghana
- Effect of light spectrum on growth, development, and mineral contents of okra (Abelmoschus esculentus L.)
- An assessment of broiler value chain in Nigeria
- Storage root yield and sweetness level selection for new honey sweet potato (Ipomoea batatas [L.] Lam)
- Direct financial cost of weed control in smallholder rubber plantations
- Combined application of poultry litter biochar and NPK fertilizer improves cabbage yield and soil chemical properties
- How does willingness and ability to pay of palm oil smallholders affect their willingness to participate in Indonesian sustainable palm oil certification? Empirical evidence from North Sumatra
- Investigation of the adhesion performance of some fast-growing wood species based on their wettability
- The choice of information sources and marketing channel of Bali cattle farmers in Bali Province
- Preliminary phytochemical screening and in vitro antibacterial activity of Plumbago indica (Laal chitrak) root extracts against drug-resistant Escherichia coli and Klebsiella pneumoniae
- Agronomic and economic performance of maize (Zea mays L.) as influenced by seed bed configuration and weed control treatments
- Selection and characterization of siderophores of pathogenic Escherichia coli intestinal and extraintestinal isolates
- Effectiveness of cowpea (Vigna unguiculata L.) living mulch on weed suppression and yield of maize (Zea mays L.)
- Cow milk and its dairy products ameliorate bone toxicity in the Coragen-induced rat model
- The motives of South African farmers for offering agri-tourism
- Morphophysiological changes and reactive oxygen species metabolism in Corchorus olitorius L. under different abiotic stresses
- Nanocomposite coatings for hatching eggs and table eggs
- Climate change stressors affecting household food security among Kimandi-Wanyaga smallholder farmers in Murang’a County, Kenya
- Genetic diversity of Omani barley (Hordeum vulgare L.) germplasm
- Productivity and profitability of organic and conventional potato (Solanum tuberosum L.) production in West-Central Bhutan
- Response of watermelon growth, yield, and quality to plant density and variety in Northwest Ethiopia
- Sex allocation and field population sex ratio of Apanteles taragamae Viereck (Hymenoptera: Braconidae), a larval parasitoid of the cucumber moth Diaphania indica Saunders (Lepidoptera: Crambidae)
- Comparison of total nutrient recovery in aquaponics and conventional aquaculture systems
- Relationships between soil salinity and economic dynamics: Main highlights from literature
- Effects of soil amendments on selected soil chemical properties and productivity of tef (Eragrostis tef [Zucc.] Trotter) in the highlands of northwest Ethiopia
- Influence of integrated soil fertilization on the productivity and economic return of garlic (Allium sativum L.) and soil fertility in northwest Ethiopian highlands
- Physiological and biochemical responses of onion plants to deficit irrigation and humic acid application
- The incorporation of Moringa oleifera leaves powder in mutton patties: Influence on nutritional value, technological quality, and sensory acceptability
- Response of biomass, grain production, and sugar content of four sorghum plant varieties (Sorghum bicolor (L.) Moench) to different plant densities
- Assessment of potentials of Moringa oleifera seed oil in enhancing the frying quality of soybean oil
- Influences of spacing on yield and root size of carrot (Daucus carota L.) under ridge-furrow production
- Review Articles
- A review of upgradation of energy-efficient sustainable commercial greenhouses in Middle East climatic conditions
- Plantago lanceolata – An overview of its agronomically and healing valuable features
- Special Issue on CERNAS 2020
- The role of edible insects to mitigate challenges for sustainability
- Morphology and structure of acorn starches isolated by enzymatic and alkaline methods
- Evaluation of FT-Raman and FTIR-ATR spectroscopy for the quality evaluation of Lavandula spp. Honey
- Factors affecting eating habits and knowledge of edible flowers in different countries
- Ideal pH for the adsorption of metal ions Cr6+, Ni2+, Pb2+ in aqueous solution with different adsorbent materials
- Determination of drying kinetics, specific energy consumption, shrinkage, and colour properties of pomegranate arils submitted to microwave and convective drying
- Eating habits and food literacy: Study involving a sample of Portuguese adolescents
- Characterization of dairy sheep farms in the Serra da Estrela PDO region
- Development and characterization of healthy gummy jellies containing natural fruits
- Agro-ecological services delivered by legume cover crops grown in succession with grain corn crops in the Mediterranean region
- Special issue on CERNAS 2020: Message from the Editor
- Special Issue on ICESAT 2019
- Climate field schools to increase farmers’ adaptive capacity to climate change in the southern coastline of Java
- Special Issue on the International Conference on Agribusiness and Rural Development - IConARD 2020
- Supply chain efficiency of red chili based on the performance measurement system in Yogyakarta, Indonesia
- Sustainable value of rice farm based on economic efficiency in Yogyakarta, Indonesia
- Enhancing the performance of conventional coffee beans drying with low-temperature geothermal energy by applying HPHE: An experimental study
- Opportunities of using Spirulina platensis as homemade natural dyes for textiles
- Special Issue on the APA 2019 - 11th Triennial Conference
- Expanding industrial uses of sweetpotato for food security and poverty alleviation
- A survey on potato productivity, cultivation and management constraints in Mbala district of Northern Zambia
- Orange-fleshed sweetpotato: Strategies and lessons learned for achieving food security and health at scale in Sub-Saharan Africa
- Growth and yield of potato (Solanum tuberosum L.) as affected by storage conditions and storage duration in Jos, Plateau State, Nigeria
- Special Issue on the International Conference on Multidisciplinary Research - Agrarian Sciences
- Application of nanotechnologies along the food supply chain
- Special Issue on Agriculture, Climate Change, Information Technology, Food and Animal (ACIFAS 2020)
- The use of endophytic growth-promoting bacteria to alleviate salinity impact and enhance the chlorophyll, N uptake, and growth of rice seedling